Size: a a a

Cicerone Chat (RUS)

2020 November 09

KT

Konstantin Tskhovreb... in Cicerone Chat (RUS)
то есть граф: это описание навигации в одном инстансе чичероне (роутер+навигатор)
источник

E

Eugene in Cicerone Chat (RUS)
а какие мысли про плагин для студии?)
источник

KT

Konstantin Tskhovreb... in Cicerone Chat (RUS)
когда DSL себя оправдает и получит одобрение, то плагин отображающий граф на канвасе - это несложно
источник

KT

Konstantin Tskhovreb... in Cicerone Chat (RUS)
но пока кажется, что и DSL может быть удобен
источник

AE

Alexey Egin in Cicerone Chat (RUS)
А в чем вообще преимущество графа? Пытаюсь представить как его использовать в приложении с ~60 экранами и кучей переходов и не очень получается
источник

E

Eugene in Cicerone Chat (RUS)
а если с 8-9 переходим на 1 и нажать кнопку назад, из приложения выйдет?
источник

AP

Alexey Pushkarev in Cicerone Chat (RUS)
Alexey Egin
А в чем вообще преимущество графа? Пытаюсь представить как его использовать в приложении с ~60 экранами и кучей переходов и не очень получается
Ну мне с 42 экранами граф оч помогал, вполне
источник

KT

Konstantin Tskhovreb... in Cicerone Chat (RUS)
Eugene
а если с 8-9 переходим на 1 и нажать кнопку назад, из приложения выйдет?
нет, так как там ребро
источник

KT

Konstantin Tskhovreb... in Cicerone Chat (RUS)
чтобы был выход там надо джамп сделать, меняющий 8-9 на 1
источник

E

Eugene in Cicerone Chat (RUS)
все, так и понял) пасиб
источник

KT

Konstantin Tskhovreb... in Cicerone Chat (RUS)
Alexey Egin
А в чем вообще преимущество графа? Пытаюсь представить как его использовать в приложении с ~60 экранами и кучей переходов и не очень получается
преимущество в том, что менять поведение навигации можно не трогая ничего кроме графа
источник

KT

Konstantin Tskhovreb... in Cicerone Chat (RUS)
и видеть все ограничения, то есть то, что невозможно сделать, так как переходы возможны только те, что есть на графе
источник

KT

Konstantin Tskhovreb... in Cicerone Chat (RUS)
пример: я написал два экрана всего. а дальше нарисовал граф гигантский для семпла
источник

KT

Konstantin Tskhovreb... in Cicerone Chat (RUS)
я его меняю не трогая экраны
источник

KT

Konstantin Tskhovreb... in Cicerone Chat (RUS)
и все отлично меняется в поведении приложения
источник

KT

Konstantin Tskhovreb... in Cicerone Chat (RUS)
Konstantin Tskhovrebov
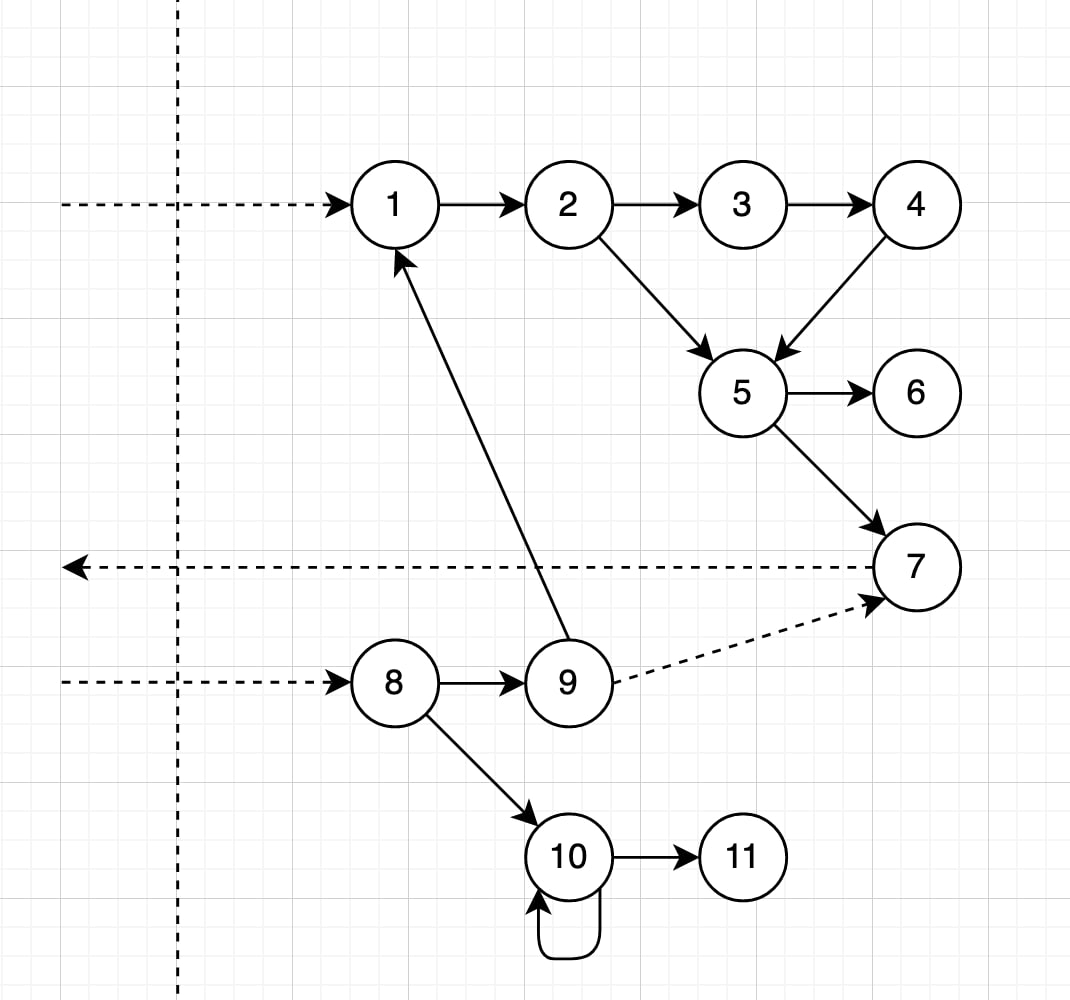
в семпловом приложении сейчас вот такой граф.
вот этот
источник

KT

Konstantin Tskhovreb... in Cicerone Chat (RUS)
можно стянуть и поиграть
источник

ВБ

Влад Баженов... in Cicerone Chat (RUS)
а если ограничений никаких нет? у меня, например, куча экранов и каждый может открывать кучу? граф строить там было бы весьма хлопотно
источник

KT

Konstantin Tskhovreb... in Cicerone Chat (RUS)
я заставлять никого не буду, но это может быть интересным опытом, хотя бы попробовать его описать.
источник

AP

Alexey Pushkarev in Cicerone Chat (RUS)
Konstantin Tskhovrebov
сплошная линия - это переход (то есть можно идти вот таким стеком: 8-9-1-2- и так далее)
пунктир - это джампы (то есть из 8-9 можно сменить стек на 1-2-3-4-5-7)
Пунктир из 9 в 7 то есть означает 8-9 дропнутся и будет открыта цепочка 1-2-5-7 ?
источник