Size: a a a

Power BI Group RU

2021 May 27

KK

Konstantin Kadikin in Power BI Group RU
есть контекстный поиск в слайсере, жмите ...
источник

А

Александр in Power BI Group RU
Ну это да, я и написал про коллег)
источник

KK

Konstantin Kadikin in Power BI Group RU
ну я увидел инфу про бесплатный десктоп, но не увидел ответа про бесплатное облачко)
источник

А

Александр in Power BI Group RU
Иногда все заканчивается десктопом)
источник

Д

Дмитрий in Power BI Group RU
Попробую, спасибо
источник

Г

Геннадий in Power BI Group RU
Привет! Может кто в курсе, есть ли какой то коннектор к HR софтине E-stuff?
источник

RG

Ruslan Ganeev in Power BI Group RU
А где она данные хранит?
источник

АГ

Александр Гинько... in Power BI Group RU
Други, выбираем следующие книги по BI для перевода! Все к обсуждению! Пять новых книг, одна круче другой, поехали! https://www.facebook.com/permalink.php?story_fbid=4156388521071686&id=100001017384921
источник

AD

Adi Does in Power BI Group RU
единица везде
источник

М

Максим in Power BI Group RU
Добрый день коллеги. А к екселе как-то можно отключить обновление запроса при нажатии на кнопку "обновить"? В PBI есть такая возможность, в екселе не могу найти.
источник

М

Максим in Power BI Group RU
Нашёл, спасибо.
источник

А

Арслан in Power BI Group RU
Ребят
источник

А

Александр in Power BI Group RU
Вы в прошлом скрине показывали день а не время поступления. Посмотрите в исходнике, может быть там и есть один заказ у день, либо с номерами заказов что-то не то
источник

А

Арслан in Power BI Group RU
Можете помочь
источник

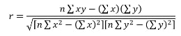
А

Александр in Power BI Group RU
Корреляция)
источник

DS

Danila (в отпуске до... in Power BI Group RU
источник

DS

Danila (в отпуске до... in Power BI Group RU
))))))))))))
источник

А

Александр in Power BI Group RU
Внесите в эксель и посчитайте формулой коррел
источник

IN

Iliah Nazarov in Power BI Group RU
источник

А

Александр in Power BI Group RU
Если будет ближе к 1 или -1 то есть зависимость
источник