VS
Size: a a a
VS
AR
VS
N

SS
A
DB
M
Ю
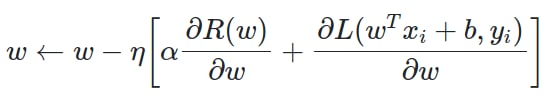
l обозначен размер обучающей выборки, поэтому нет, логично его из этой записи убрать. Иначе, формально, эффективный learning rate при SGD будет зависеть от размера выборки, что странно.N
l обозначен размер обучающей выборки, поэтому нет, логично его из этой записи убрать. Иначе, формально, эффективный learning rate при SGD будет зависеть от размера выборки, что странно.SS
SS
Ю
lSS
Ю
l, только в SGD оно равно 1?SS
weights.data -= lr * weights.grad
GW
SS
Ю

Ю