Size: a a a

Мехмат МГУ

2020 January 29

VS

Void Spirit in Мехмат МГУ
источник

VS

Void Spirit in Мехмат МГУ
Есть идеи как это решать?
источник

PS

Pavel Savin in Мехмат МГУ
Void Spirit
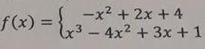
Нужно найти односторонние границы этой функции в точке x0=3. Как искать односторонние границы я знаю, но чтобы вот такой ебанутой функции...
на картинке явно не хватает правой части
источник

VS

Void Spirit in Мехмат МГУ
Pavel Savin
на картинке явно не хватает правой части
Вот и я о том же
источник

PS

Pavel Savin in Мехмат МГУ
нет функции — нет задачи, все просто
источник

VS

Void Spirit in Мехмат МГУ
Вот полный текст
источник

PS

Pavel Savin in Мехмат МГУ
польский?
источник

VS

Void Spirit in Мехмат МГУ
Ага
источник

PS

Pavel Savin in Мехмат МГУ
ну то, что написано после f(x) это не функция
источник

PS

Pavel Savin in Мехмат МГУ
были бы там промежутки указаны, на которых f(x) такая, было бы норм
источник

VS

Void Spirit in Мехмат МГУ
Pavel Savin
были бы там промежутки указаны, на которых f(x) такая, было бы норм
А (-inf; +inf) не может быть у двух одновременно?
источник

PS

Pavel Savin in Мехмат МГУ
Void Spirit
А (-inf; +inf) не может быть у двух одновременно?
ну тогда это не функция?
источник

VS

Void Spirit in Мехмат МГУ
Pavel Savin
ну тогда это не функция?
Какая-то композитная функция, если такие существуют
источник

VS

Void Spirit in Мехмат МГУ
Мб эти ебучие пшеки хотят для каждой из этих функций найти границы
источник

PS

Pavel Savin in Мехмат МГУ
ну в тройке оба выражения равны 1 в целом
источник

DK

Denis Kosov in Мехмат МГУ
Pavel Savin
ну тогда это не функция?
источник

PS

Pavel Savin in Мехмат МГУ
источник

A

Armen in Мехмат МГУ
источник

DK

Denis Kosov in Мехмат МГУ
@MSS4DA ставка на уровене, куи сохранили
источник

DK

Denis Kosov in Мехмат МГУ
повысили ставки на IOER, но это в целом похуй
источник