Size: a a a

Мехмат МГУ

2020 September 08

IS

Iskander Saitbatalov in Мехмат МГУ
милана
Найти производную сложных функций
Кто-неть вбейте ей вольфрамальфу
источник

м

милана in Мехмат МГУ
Я медик 😉
источник

IS

Iskander Saitbatalov in Мехмат МГУ
милана
Я медик 😉
Предлагаешь бартер?)
источник

м

милана in Мехмат МГУ
Не не
источник

м

милана in Мехмат МГУ
Не честно будет
источник

IS

Iskander Saitbatalov in Мехмат МГУ
милана
Не честно будет
ЛОЛ, не то, чтобы я хотел бартер) Но по-моему просить кого-то решить задачу за тебя тоже нечестно)
источник

м

милана in Мехмат МГУ
Почему нечестно?
источник

IS

Iskander Saitbatalov in Мехмат МГУ
милана
Почему нечестно?
источник

IS

Iskander Saitbatalov in Мехмат МГУ
Вот пункт 1
источник

IS

Iskander Saitbatalov in Мехмат МГУ
Второй пункт сама вбей
источник

RB

Ramzan Bekbulatov in Мехмат МГУ
Ты че как древний человек
источник

RB

Ramzan Bekbulatov in Мехмат МГУ
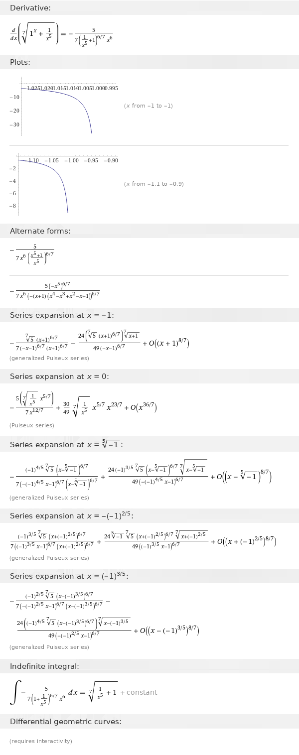
/wf ((1^x+1/x^5)^1/7)'
источник

M

MSU Hub Bot in Мехмат МГУ
Ramzan Bekbulatov
/wf ((1^x+1/x^5)^1/7)'
источник

IS

Iskander Saitbatalov in Мехмат МГУ
Ramzan Bekbulatov
/wf ((1^x+1/x^5)^1/7)'
Ну я ж написал, сделойт  кто-та
источник

IS

Iskander Saitbatalov in Мехмат МГУ
источник

M

MSU Hub Bot in Мехмат МГУ
Использование: /wf sum 1/n^2, n=1..inf
источник

IS

Iskander Saitbatalov in Мехмат МГУ
@llSoSkAll если ты не понимаешь, что о тебя требуется, просто перепиши решение с картинки, но тогда непонятно, как ты будешь доказывать, что это ты решила)
источник

м

милана in Мехмат МГУ
В тетради кто сможет оформить пожалуйста
источник

IS

Iskander Saitbatalov in Мехмат МГУ
милана
В тетради кто сможет оформить пожалуйста
источник

IS

Iskander Saitbatalov in Мехмат МГУ
милана
В тетради кто сможет оформить пожалуйста
Мы же скинули тебе решение полностью
источник