Size: a a a

Мехмат МГУ

2020 October 18

RB

Ramzan Bekbulatov in Мехмат МГУ
Iskander Saitbatalov
0.015=0.5(m*4+2m*1)
/tex
источник

M

MSU Hub Bot in Мехмат МГУ
Iskander Saitbatalov
0.015=0.5(m*4+2m*1)
источник

NK

ID:0 in Мехмат МГУ
📋 Пост в группе Мехмат МГУ:

Мы уже писали о проекте «Билеты от Кати», предлагающем билеты по льготным ценам в лучшие театры Москвы, нашей выпускницы Кати Строевой.
Снова отличное предложение для студентов мехмата, желающие получить бесплатные пригласительные на завтра пишите в личку Кате(@id61468) с указанием фамилии, имени и номера курса:

Мастерская Петра Фоменко приглашает на очень приятный, лёгкий и не очень долгий спектакль
«Путь к сердцу» по пьесе Дмитрия Данилова

19 октября (пн) 19:00
«Вкусная история - в самом прямом смысле. За этот час мы узнаем секрет приготовления салата капрезе, пасты карбонара и десерта панакота. Хотя, скорее даже, прочувствуем в полной мере. И поверьте, таких рецептов вы ещё не встречали... а буфете мастерской, очень кстати, есть вкусная панакота.»

Описание и отзывы можно прочитать по ссылке: https://biletyotkati.ru/list/org/19

Желающие получить бесплатные пригласительные, пишите напрямую Кате(@id61468), обязательно укажите фамилию, имя, номер курса и количество билетов, которые хотите получить.
источник

П

Последователь Сына Ч... in Мехмат МГУ
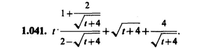
Помогите
источник

П

Последователь Сына Ч... in Мехмат МГУ
источник

PS

Pavel Savin in Мехмат МГУ
(
источник

П

Последователь Сына Ч... in Мехмат МГУ
Я уже два А4 списал ни как не могу эту ебалу решить
источник

П

Последователь Сына Ч... in Мехмат МГУ
Сука
источник

IS

Iskander Saitbatalov in Мехмат МГУ
Последователь Сына Человеческого
Я уже два А4 списал ни как не могу эту ебалу решить
Ну пришли фотки этих А4, мне интересно взглянуть, что ты там писал. Это хоть относилось к задаче, которую ты решал?
источник

PS

Pavel Savin in Мехмат МГУ
)
источник

П

Последователь Сына Ч... in Мехмат МГУ
Iskander Saitbatalov
Ну пришли фотки этих А4, мне интересно взглянуть, что ты там писал. Это хоть относилось к задаче, которую ты решал?
У меня там хаос + зачекрнуто уже дохуя
источник

П

Последователь Сына Ч... in Мехмат МГУ
Могу прислать что у меня в конце вышло
источник

IS

Iskander Saitbatalov in Мехмат МГУ
Последователь Сына Человеческого
У меня там хаос + зачекрнуто уже дохуя
Пришли оба листа А4, которые ты исписал
источник

RB

Ramzan Bekbulatov in Мехмат МГУ
Последователь Сына Человеческого
У меня там хаос + зачекрнуто уже дохуя
/tex puk
источник

M

MSU Hub Bot in Мехмат МГУ
источник

CA

Cubert Array in Мехмат МГУ
ответ -4
источник

CA

Cubert Array in Мехмат МГУ
сходится с ответом в конце задачника?
источник

D

D.A. in Мехмат МГУ
Это диффур?
источник

D

D.A. in Мехмат МГУ
Там t’
источник

D

D.A. in Мехмат МГУ
источник