Size: a a a

Рациональные числа

2016 November 27
Рациональные числа
источник
Рациональные числа
источник
Рациональные числа
источник
Рациональные числа
источник
Рациональные числа
источник
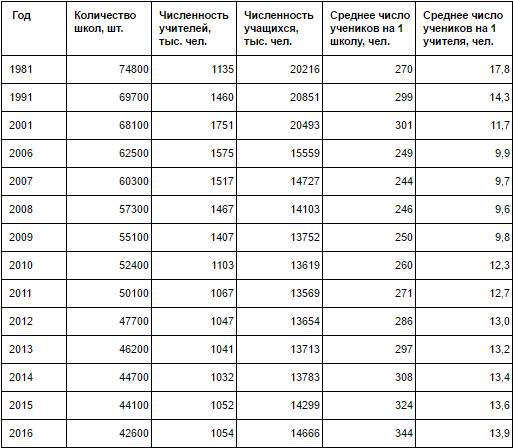
Рациональные числа
Сводная табица по образованию
источник
Рациональные числа
Некоторые цифры о термояде

Термоядерный синтез — реакция синтеза более тяжелых элементов из более легких, которая сопровождается высвобождением огромной энергии. Температура реакции термоядерного синтеза ~100 млн °C.

Мировой рекорд удержания плазмы — 102 секунды при температуре около 50 млн °C — зафиксирован на китайском токамаке EAST в феврале 2016 года.

Сравнение количества энергии, которое дают реакции горения и термояд:
— Дрова — 7 МДж/кг;
— Уголь — 34 МДж/кг;
— Газ — 44 МДж/кг;
— Нефть — 44 МДж/кг;
— Термоядерный синтез — 170.000.000 МДж/кг.

via ria.ru/science/20161122/1481884823.html
источник
2016 December 02
Рациональные числа
Минимальный размер оплаты труда в странах пост-советского пространства. via rferl.org/a/28121003.html
источник
2016 December 05
Рациональные числа
«Русские составляют всего 1,1% американских семей, но при этом 6,4% — семей миллионеров. По нашим оценкам, около 22% всех семей, главой которых является выходец из России, имеют чистую стоимость от одного миллиона долларов и выше. Налицо яркий контраст с английской группой, в которой лишь 7,71% семей являются миллионерами».

Цитата из книги Томаса Стэнли и Уильяма Данко «Ваш сосед — миллионер». Источник цитаты: vc.ru/p/how-to-money-3
источник
Рациональные числа
Рейтинг самых влиятельных людей мира по версии журнала Тайм (Time)

Сегодня журнал Тайм опубликовал рейтинг самых влиятельных людей мира по версии читателей. Рейтинг «Человек года» публикуется ежегодно с 1927 года и вплоть до 1950 года лауреатами становились конкретные личности, однако позднее звание получали и абстрактные персонажи.

Всех номинантов рейтинга можно классифицировать по разным характеристикам, например:

По роду деятельности:
– Лидеры государств — 34 человека (из них президенты США — 12),
– Другие политики и военные — 11,
– Бизнесмены — 8,
– Папы римские — 3,
– Ученые — 3,
– Другие деятели — 5,
– Абстрактные персонажи — 16.

По возрасту на момент публикации:
– младше 50 лет — 18,
– старше 50 лет— 53.

Рейтинг читательского голосования 2016 года:
– Нарендра Моди — 19%,
– Барак Обама — 7%,
– Дональд Трамп — 7%,
– Джулиан Ассанж — 7%,
– Владимир Путин — 6%,
– Информаторы города Флинт — 6%,
– Мишель Обама — 5%,
– Бэрни Сандерс — 5%,
– Хиллари Клинтон — 4%,
– Родители Хумаюна Хана — 4%,
– Ученые генной терапии — 4%,
– Марк Цукерберг — 3%,
– Марин Ле Пен — 3%,
– Лин-Мануэль Миранда — 3%,
– Найджел Фараж — 3%.

7 декабря будут подведены итоги рейтинга «Человек года» с учетом голосования читателей и мнения редакции журнала.

Источники:
https://www.behance.net/gallery/33166815/TIMELINE-OF-FACES
http://new.time.com/4570597/person-of-the-year-readers-poll-results-2016/#
https://ru.wikipedia.org/wiki/Человек_года_(Time)
источник
2016 December 09
Рациональные числа
Несколько цифр о применении больших данных для манипулирования людьми

Прочитал интересную статью о применении больших данных в политическом маркетинге. Русский перевод называется «Расследование Das Magazin: как Big Data и пара ученых обеспечили победу Трампу и Brexit», немецкий оригинал — «Ich habe nur gezeigt, dass es die Bombe gibt». Вообще статья интересная целиком, а для публикации тут мне показались интересными три штуки.

1. Специалистам по Big Data достаточно анализа 68 лайков в Фэйсбуке, чтобы определить цвет кожи испытуемого с вероятностью 95%, его гомосексуальность с вероятностью 88%, а приверженность Демократической или Республиканской партии США с вероятностью 85%.

2. Козинский, автор методики анализа личности по лайкам в Фэйсбуке говорит, что прочитать нас довольно просто: «скоро модель смогла лучше узнавать личность после десяти изученных лайков, нежели его коллеги по работе. После 70 лайков — лучше, чем друг. После 150 лайков — лучше, чем родители. После 300 лайков — лучше, чем партнер. С еще большим количеством изученных действий можно было бы узнать о человеке лучше, чем он сам».

3. Таргетирование сообщений действительно сильно влияет на поведение людей: «Например, психологическое таргетирование, подобно тому, что использовали в Cambridge Analytica, повышают число кликов на рекламе в Фэйсбуке на 60%. Вероятность же того, что после просмотра персонализированной рекламы люди перейдут к действиям (купят ту или иную вещь или проголосуют за нужного кандидата) возрастает на 1400%».

Русский перевод: theins.ru/politika/38490
Оригинал на немецком: dasmagazin.ch/2016/12/03/ich-habe-nur-gezeigt-dass-es-die-bombe-gibt
источник
Рациональные числа
В октябре 2016 мировой мобильный трафик впервые превысил настольный via http://gs.statcounter.com/press/mobile-and-tablet-internet-usage-exceeds-desktop-for-first-time-worldwide
источник
2016 December 10
Рациональные числа
Медианный возраст сотрудников топовых технологических компаний via redd.it/5hcpl7
источник
2016 December 12
Рациональные числа
Количество банков (кредитных организаций) в России в 2001—2016 годах via goo.gl/lPbGDA
источник
2016 December 13
Рациональные числа
Распределение браков в Петрограде по возрасту женихов и невест, 1918 год. Источник: spbarchives.ru/weddings_3_1
источник
2016 December 14
Рациональные числа
Медиа-потребление руководителями бизнеса

Ниже будут картинки из свежего исследования компании Кварц (Quartz), которая опросила 1357 руководителей в 97 странах.

Главное:
— 89% пользуются социальными медиа вообще;
— 60% используют социальные медиа для чтения новостей;
— 59% читают новости, в основном, на смартфоне;
— 94% используют почтовые рассылки для получения новостей;
— 74% читают новости с утра;
— 84% назвали большие статьи тем типом контента, который они расшарят с большей вероятностью.

Исследование полностью: insights.qz.com/ges/2016
источник
Рациональные числа
Когда читают новости
источник
Рациональные числа
Какими социальными медиа пользуются
источник
Рациональные числа
Популярные социальные медиа для чтения новостей
источник
Рациональные числа
Источники новостей руководителей
источник