
Docker, FRRouting, Open vSwitch, а ещё готовые топологии и конфигурация на 60 автономных систем.Не знаю кто кого вдохновлял, но есть ещё похожий проект карманного Интернета, правда в режиме заморозки.
Size: a a a

Docker, FRRouting, Open vSwitch, а ещё готовые топологии и конфигурация на 60 автономных систем.

Magic 8 ball, но мы им не пользуемся, честно-честно. За деревом-цветком стойка с коммутаторами для обслуживания сотрудников на этом этаже, она нас греет зимой и почти не шумит. На ней большой магнит с логотипом Cisco с какого-то Cisco connect, подарок коллеги. Где-то за монитором лежит RIPE Atlas probe номер 50398. Да, это розовая клавиатура. 

DoH и DoT, в 9.16 тоже будет. А пока можно почитать как это в ISC себе представляют.
.bashrc, .zshrc, а может даже в rc.conf, то знайте что "RC" это вовсе не Radio Control :), это Run Commands или Run Control и корни этого уходят во времена до Unix и даже до Multics.
BGP соседство и анонсировать наши IPv6 маршруты на самый-самый крайний случай. Но у меня не получилось, все настройки правильные, в почте все нужные подтверждения, статус ждите... и ничего. При этом я точно знаю оператора в нашей области который пользуется именно так, до сих пор.




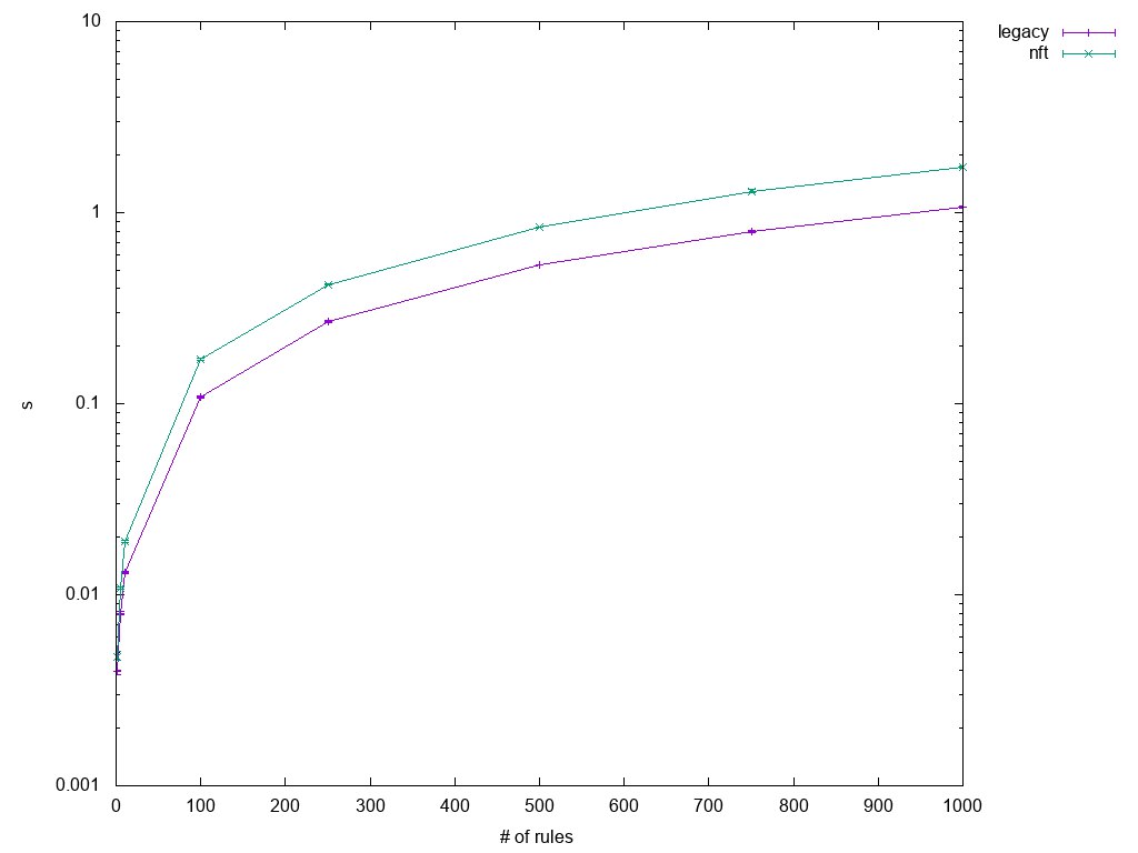
Nftables всё ближе, но от привычного iptables просто так не избавишься. Поэтому на помощь приходит iptables-nft, последние версии которого почти также быстро оперируют с правилами iptables переводя их в nftables как и классический iptables. Но далеко не всегда и совсем недавно ситуация была более чем плачевная. Если хочется nftables пользуйся nftables без всяких прослоек, а вывод в статье позитивный.



ICMP и получим шквал обращений на неработающий Интернет, который по прежнему остаётся децентрализованным.


NAC, с широкими возможностями интеграции с многими и многими устройствами, многими протоколами, базами данных пользователей и другими продуктами. Это комплексное решение для больших сетей в том числе. В апреле вышла уже версия 10.0, внутри, кстати, Perl.
